

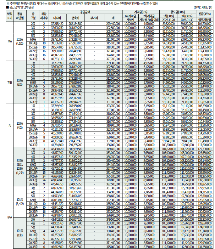
경북 고령군 다산면 좌학리 139-1 일대에서 한국투자부동산신탁이 시행하고 은성산업·은성건설이 시공을 맡은 ‘다산 월드메르디앙 센텀하이’가 분양을 앞두고 있습니다. 해당 단지는 준주거지역 4,477평 부지 위에 연면적 22,672평 규모로 들어서며, 지하 4층~지상 39층, 총 3개 동, 전용면적 74~121㎡, 총 463가구로 설계되었습니다.
분양가는 전용면적별로 다양하게 책정되었습니다. 74·76㎡(31평) 타입은 3억 2,770만~3억 3,600만 원, 84㎡(35평) 타입은 3억 7,620만~3억 8,250만 원, 103㎡(43평) 타입은 5억 6,530만 원, 115㎡(48평) 타입은 6억 2,320만 원, 121㎡(50평) 타입은 6억 4,950만~6억 6,280만 원입니다. 평당 분양가는 1,071만~1,322만 원 수준입니다.
계약 조건은 계약금 5%(1차분 1,000만 원 정액제) + 중도금 60%(이자 후불제) + 잔금 30%이며, 발코니 확장비는 1,320만~2,200만 원으로 평형별로 상이합니다. 청약은 2025년 9월 16일에 진행되며, 입주는 2026년 7월 예정입니다.

고령 다산면의 주거 인프라와 교통망 확충 계획이 가져올 수 있는 생활 편의성과 가치 상승 가능성
고령군 다산면은 대구와 인접해 있어 생활권이 자연스럽게 연결되는 지역입니다. 특히 대구 도시권과 가깝다는 점에서 교통 호재에 따른 가치 상승 가능성이 점차 커지고 있습니다. 다산 월드메르디앙 센텀하이는 고령군의 인구 유입 전략과 맞물려 있으며, 주거 인프라 확충과 상권 활성화가 동시에 진행되는 핵심 입지라 평가됩니다. 또한 인근 산업단지와의 접근성, 대구 접근 교통망 확충 등은 직주근접 수요를 견인할 수 있어 실거주뿐 아니라 임대 수익 측면에서도 긍정적인 요인으로 작용할 가능성이 큽니다.

다양한 전용면적 구성과 합리적인 분양 조건이 만들어내는 투자 상품으로서의 차별성
이번 단지는 전용 74㎡부터 121㎡까지 다양한 평형으로 구성되어 있어, 신혼부부부터 중대형 주거를 원하는 가족까지 폭넓은 수요층을 아우를 수 있습니다. 분양가 수준 또한 대구·경북권 평균 시세와 비교했을 때 상대적으로 합리적인 편에 속하며, 특히 중도금 이자 후불제 혜택은 초기 자금 부담을 줄여주는 장점으로 꼽힙니다. 또한 ‘월드메르디앙’ 브랜드는 중견 건설 브랜드로 안정적인 시공 능력을 인정받아 왔으며, 브랜드 신뢰성이 분양 흥행에도 긍정적으로 작용할 수 있습니다.
투자자 입장에서 주목해야 할 다산 월드메르디앙 센텀하이의 장점과 기회 요인

투자자의 관점에서 이번 분양의 장점은 크게 네 가지로 정리할 수 있습니다. 첫째, 입지 성장성입니다. 대구 접근성이 우수하고 고령군의 도시 개발 전략에 따라 향후 주거 수요가 늘어날 가능성이 높습니다. 둘째, 합리적인 분양가와 다양한 평형입니다. 3억 원대부터 시작되는 분양가는 실수요 접근성을 높이고, 임대 및 매매 시장에서 경쟁력을 확보할 수 있습니다. 셋째, 교통 및 생활 인프라 확충 가능성입니다. 향후 광역 교통망과 상권 조성이 본격화되면 가치 상승을 기대할 수 있습니다. 넷째, 브랜드와 시공 신뢰성입니다. 한국투자부동산신탁과 은성산업·은성건설의 참여는 안정적인 사업 추진에 대한 신뢰도를 높여줍니다.

투자자가 반드시 고려해야 할 리스크 요인과 단점에 대한 심층 분석
반면 투자 시 주의해야 할 단점도 분명히 존재합니다. 1. 지역 수요 제한성 – 고령군은 대구에 비해 인구 유입 속도가 더딘 지역으로, 단기적인 시세 상승은 제한될 수 있습니다. 2. 대규모 공급 리스크 – 인근 지역 개발과 공급이 동시에 진행될 경우, 임대 경쟁 심화로 수익률이 낮아질 수 있습니다. 3. 발코니 확장비 부담 – 평형별로 1,320만~2,200만 원에 달하는 발코니 확장비는 입주 시 추가 부담으로 작용할 수 있습니다. 4. 교통 호재의 불확실성 – 광역 교통망 확충 계획이 현실화되기까지 시간이 소요될 수 있으며, 계획 지연 시 기대했던 가치 상승이 늦어질 수 있습니다. 5. 자금 유동성 제약 – 중도금 후불제가 제공되지만 잔금 30%를 한 번에 마련해야 하므로, 입주 시점의 자금 압박을 염두에 두어야 합니다.


장기적인 시각에서 안정성과 성장성을 균형 있게 고려한 투자 전략의 필요성
다산 월드메르디앙 센텀하이는 실수요자와 투자자 모두에게 매력적인 요소를 갖춘 단지이지만, 지역적 한계와 공급 리스크, 교통 호재의 불확실성을 반드시 고려해야 합니다. 따라서 투자자는 단기적 시세 차익보다는 장기적 자산 가치 상승과 안정적인 임대 수익 확보를 목표로 접근하는 것이 바람직합니다. 특히 대구권과의 생활권 통합 흐름, 고령군의 인구 유입 정책, 산업단지 활성화 정도를 지속적으로 관찰하는 것이 필요합니다.

최종 결론: 다산 월드메르디앙 센텀하이는 합리적 분양가와 입지 성장성을 가진 단지이지만 투자자의 신중한 판단이 요구
경북 고령군 다산면 좌학리에서 분양 예정인 다산 월드메르디앙 센텀하이는 합리적인 분양가와 다양한 평형 구성, 입지 성장성, 브랜드 신뢰성을 갖춘 단지로 평가됩니다. 다만 지역적 수요 한계와 발코니 확장비 부담, 교통 호재 불확실성은 투자 전에 반드시 검토해야 할 요소입니다. 결국 이번 분양은 고령군 및 대구 생활권에서 내 집 마련을 원하는 실수요자, 또는 중장기 투자 관점에서 가치 상승을 기대하는 투자자에게 의미 있는 선택지가 될 수 있습니다.
#다산월드메르디앙센텀하이 #고령아파트분양 #경북신규분양 #다산면아파트 #좌학리아파트 #월드메르디앙분양 #경북부동산투자 #고령신축아파트 #아파트투자유의사항 #경북분양정보
2025.09.16 - [상식,이슈] - 경기 화성시 오산동 동탄역 디에트르 퍼스티지 오피스텔 분양 정보와 투자 가치 분석
2025.09.16 - [상식,이슈] - 경기 안성시 옥산동 아양택지개발지구에서 분양 예정인 ‘안성 아양 금성백조 예미지’의 특징과 투자 포인트
경기 안성시 옥산동 아양택지개발지구에서 분양 예정인 ‘안성 아양 금성백조 예미지’의 특징
금성백조주택은 경기 남부 권역의 주거 수요가 점차 확대되고 있는 안성시 옥산동 337 일대, 아양택지개발지구 B블록에서 ‘안성 아양 금성백조 예미지’ 아파트 분양을 앞두고 있습니다. 이번
rich-way.com
2025.09.15 - [상식,이슈] - HDC현산, 대전 변동A구역 재개발 수주! 3조 클럽 달성 쾌거 (feat. 둔산 생활권 & 더블 역세권)
HDC현산, 대전 변동A구역 재개발 수주! 3조 클럽 달성 쾌거 (feat. 둔산 생활권 & 더블 역세권)
목차1. 서론: HDC현대산업개발, 대전 변동A구역 재개발 깃발 꽂다! 3조 클럽 달성 의미2. 본론 1: 대전 변동A구역 재개발 사업, 9602억 규모의 초대형 프로젝트* 사업 개요: 위치, 규모, 세대수 완벽 분
rich-way.com
"이 포스팅은 쿠팡 파트너스 활동의 일환으로, 이에 따른 일정액의 수수료를 제공받습니다."
'상식,이슈' 카테고리의 다른 글
| 동탄 대방 엘리움 레이크파크 분양, 경기 화성 송동의 입지와 투자 포인트 종합 분석 (0) | 2025.09.17 |
|---|---|
| 부산 동구 범일동 퀸즈이즈카운티 분양 예정, 입지와 투자 관점에서 살펴보는 주요 포인트 (1) | 2025.09.17 |
| 경기 화성시 오산동 동탄역 디에트르 퍼스티지 오피스텔 분양 정보와 투자 가치 분석 (1) | 2025.09.16 |
| 2025 상생페이백: 놓치면 후회할 전국민 혜택! 누리집 신청 완벽 가이드 (0) | 2025.09.16 |
| 경기 안성시 옥산동 아양택지개발지구에서 분양 예정인 ‘안성 아양 금성백조 예미지’의 특징과 투자 포인트 (1) | 2025.09.16 |