목차
- 1. 검단 센트레빌 에듀시티 사업 개요
- 2. 분양가 및 주변 시세 비교
- 3. 투자자의 입장에서 본 투자 유의사항과 단점
- 4. 향후 가치 전망과 실수요·투자자에게 주는 시사점
검단 센트레빌 에듀시티 사업 개요
인천 서구 당하동 693 일대, 검단지구 AB8블록에서 검단 센트레빌 에듀시티가 분양을 앞두고 있습니다. 이번 사업은 시행과 시공을 동부건설이 맡아 신뢰도를 높였습니다. 단지는 지하 2층~지상 25층, 총 17개동, 1,534가구 규모의 대단지로 조성됩니다. 전용면적은 74㎡, 84㎡, 101㎡, 120㎡로 다양하게 구성되어 실수요자의 선택 폭이 넓습니다.
검단 신도시는 수도권 서북부 대표 신도시로서 교통망 확충과 학군, 생활 인프라가 점차 갖춰지고 있어 주거 선호도가 상승하고 있는 지역입니다. 특히 에듀시티라는 이름처럼 교육 환경에 초점을 맞춘 설계가 예상되어 젊은 실수요자에게 높은 인기를 얻을 가능성이 큽니다.
분양가 및 주변 시세 비교
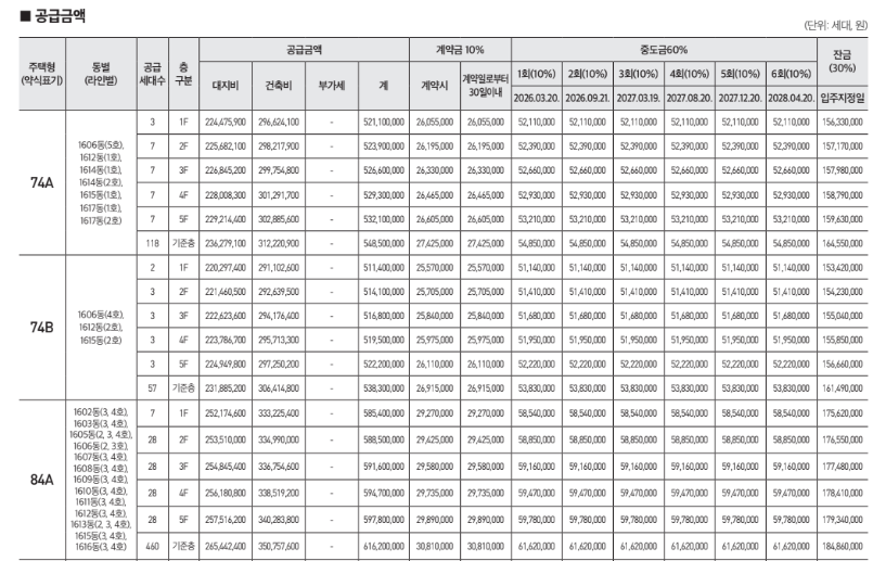
검단 센트레빌 에듀시티의 분양가는 다음과 같습니다.
- 74㎡ (공급면적 29·30평): 5억 3,830만 원~5억 4,850만 원
- 84㎡ (33·34평): 5억 9,960만 원~6억 1,620만 원
- 101㎡ (40평): 6억 8,310만 원~6억 9,940만 원
- 120㎡ (48평): 11억 4,340만 원
평당 분양가는 1,713만 원~2,373만 원 수준입니다. 계약 조건은 계약금 5% + 중도금 60%(이자 후불제) + 잔금 30%로, 초기 자금 부담은 비교적 낮게 설정되어 있습니다. 발코니 확장비는 면적에 따라 약 509만 원~733만 원 수준입니다.
입주는 2028년 8월 예정이며, 청약은 2025년 9월 30일 1순위부터 시작됩니다. 전매제한은 3년으로 설정되어 있어 단기 투자는 어렵고, 중장기적인 가치 상승을 고려해야 합니다.
주변 시세와 비교해보면, 인천 평균 평당가 1,334만 원, 서구 1,419만 원, 당하동 1,436만 원입니다. 따라서 이번 분양가는 지역 평균보다 다소 높은 수준으로, 신축 아파트 프리미엄과 대단지 메리트가 반영된 것으로 볼 수 있습니다.
투자자의 입장에서 본 투자 유의사항과 단점
투자 관점에서 검단 센트레빌 에듀시티는 안정성과 미래 가치를 동시에 고려할 수 있는 단지이지만, 아래와 같은 유의사항과 단점도 분명히 존재합니다.
- 높은 분양가 부담 – 인천 및 서구 평균 시세 대비 분양가가 높아 초기 진입 장벽이 큽니다.
- 전매제한 3년 – 단기 시세차익을 노리기 어려우며, 장기 보유 전략이 필요합니다.
- 입주까지 긴 기간 – 2028년 입주 예정으로, 투자금 회수까지 시간이 오래 걸릴 수 있습니다.
- 검단 신도시 공급 과잉 우려 – 인근에 다수의 신규 단지가 공급 중이어서 입주 시점의 경쟁이 치열할 수 있습니다.
- 금리 및 경기 리스크 – 중도금 대출 및 향후 매매가에 영향을 줄 수 있어 시장 상황을 주의 깊게 살펴야 합니다.
즉, 이번 사업은 단기 투자자보다는 안정적인 거주와 중장기 투자 가치를 고려하는 실수요자 및 장기 투자자에게 적합합니다. 투자자는 교통망 확충(서울 5호선 연장, GTX-D 추진 여부 등), 주변 학군 및 생활 인프라, 정부 정책 변화를 꼼꼼히 검토해야 리스크를 줄일 수 있습니다.
향후 가치 전망과 실수요·투자자에게 주는 시사점
검단 센트레빌 에듀시티는 인천 서구의 대규모 신축 단지로서 향후 가치 상승 가능성이 큽니다. 특히 교육 환경 특화 설계와 대단지 커뮤니티, 동부건설의 브랜드 프리미엄이 결합해 주거 안정성과 투자 가치를 동시에 갖출 수 있습니다.
실수요자에게는 쾌적한 주거 환경과 신도시 기반 인프라를 누릴 기회가 되며, 투자자에게는 중장기적으로 안정적인 자산 증식 수단이 될 수 있습니다. 다만, 공급 경쟁과 높은 분양가라는 현실적인 제약을 반드시 고려해야 합니다.
#검단센트레빌에듀시티 #인천아파트분양 #검단신도시분양 #동부건설아파트 #당하동아파트 #부동산투자 #아파트청약 #인천신축아파트 #검단분양가 #인천아파트시세
'상식,이슈' 카테고리의 다른 글
두산위브앤수자인 부평 더퍼스트 분양 소식과 투자 포인트 (0) | 2025.10.02 |
---|---|
서울 중랑구 망우동 ‘상봉 센트럴 아이파크’ 분양 소식과 투자 분석 (0) | 2025.10.02 |
송파 위례 리슈빌 줍줍: 9억 로또, 놓치면 후회할 기회?! (0) | 2025.09.30 |
서울 양천구 신월동 가로주택정비사업, 신영C&D 시공사 선정 소식 (0) | 2025.09.29 |
트윈픽스 강남 개발사업, 현대건설 참여와 투자 시 고려할 점 (0) | 2025.09.29 |